Wraz z końcem roku rządzący wykonali ważny krok w walce z wykluczeniem komunikacyjnym. Wojewoda mazowiecki ogłosił listę gmin i związków powiatowych, które otrzymały dofinansowanie na przywrócenie komunikacji autobusowej. Na liście 79 gmin i związków z Mazowsza znalazły się gminy powiatu płockiego, a wśród nich m.in. Łąck, Stara Biała, Nowy Duninów, Radzanowo czy Wyszogród.
W 2026 roku do mazowieckich samorządów trafi dofinansowanie na przywrócenie komunikacji autobusowej. Łącznie na ten cel do kas samorządów trafi 102 mln zł. – Wsparcie pozwoli utworzyć lub przywrócić ponad 620 linii autobusowych – informuje Mazowiecki Urząd Wojewódzki w Warszawie.
W wyniku naboru wniosków dopłaty do organizacji przewozów otrzymało 79 gmin i związków powiatowo-gminnych. Środki pochodzą z Funduszu Rozwoju Przewozów Autobusowych. – Zapewnienie dostępu do transportu publicznego jest jednym z zadań własnych samorządów. Rząd konsekwentnie wspiera tego rodzaju działania – zaznacza zespół prasowy wojewody.
Na przykład w Łącku…
Jedną z gmin z powiatu płockiego, która otrzymała dofinansowanie jest gmina Łąck. – Łączna wartość przyznanego wsparcia to ponad 2 mln. zł – informuje Iwona Sierocka, wójt gminy, w swoich mediach społecznościowych. – Zawarta umowa zapewni gminie Łąck dofinansowanie na kolejne trzy lata.
Ponadto Sierocka zaznacza, że wszystkie dotychczasowe linie pozostają, a dodatkowo władze gminy podjęły decyzję, że od 1 marca 2026 roku uruchomiona będzie kolejna, na którą mieszkańcy zgłaszają zapotrzebowanie. – Będzie to linia: Łąck Pętla – Zdwórz – Koszelówka – Matyldów – Zaździerz -Wincentów – Łąck – Płock.
– Rokrocznie rozwijamy sieć połączeń autobusowych, konsekwentnie poprawiając dostępność komunikacyjną dla mieszkańców naszej gminy – zaznacza Sierocka. – Serdecznie dziękuję wojewodzie mazowieckiemu Mariuszowi Frankowskiemu za wsparcie, dobrą współpracę i zrozumienie potrzeb lokalnych samorządów.
102 miliony złotych…
– Ten Fundusz to kolejny przykład efektywnej współpracy rządu z samorządami na rzecz mieszkańców społeczności lokalnych. Celem działań jest zagwarantowanie połączeń autobusowych umożliwiających dotarcie do pracy, placówek edukacyjnych, ośrodków zdrowia oraz większych ośrodków miejskich, gdzie załatwiamy codzienne sprawy – wymienia Mariusz Frankowski, wojewoda mazowiecki. Podkreśla jednocześnie, że dzięki temu mieszkańcy małych miejscowości zyskują realny dostęp do usług, a lokalne społeczności – większą spójność i szansę na rozwój
Pula wsparcia dla nowych działań jednorocznych i wieloletnich wynosi ponad 68 mln zł. Pozostałe 34 mln zł to środki przeznaczone na utrzymanie połączeń wznowionych w poprzednich latach – wylicza zespół prasowy wojewody. -Dofinansowanie pozwoli na utworzenie nowych połączeń autobusowych. Aby wyjść naprzeciw oczekiwaniom mieszkańców i samorządów i jak najlepiej walczyć z wykluczeniem komunikacyjnym, wsparciem objęto 77 gmin z różnych części województwa oraz 2 związki powiatowo-gminne.
Czym jest Fundusz Rozwoju Przewozów Autobusowych?
Jest to państwowy fundusz celowy. Dzięki dopłatom wspiera przywracanie lokalnych połączeń między miejscowościami. W efekcie, mieszkańcy, głównie z mniejszych ośrodków, mogą dotrzeć środkami transportu publicznego do pracy, szkół, placówek zdrowia czy instytucji kultury. Zwiększenie siatki połączeń autobusowych stwarza też dostęp do szerszego rynku pracy i możliwości zawodowych.
W poniedziałek, 22 grudnia, umowy w tej sprawie z beneficjantami podpisał wojewoda mazowiecki Mariusz Frankowski.
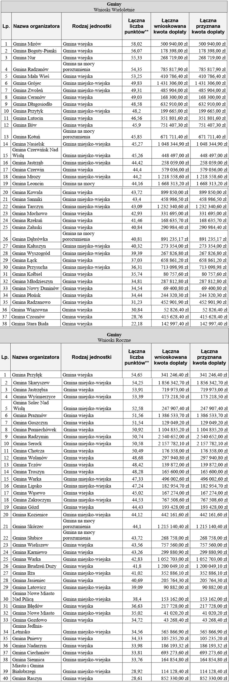
Lista gmin i związków powiatowych z dofinansowaniem

Fot. Mazowiecki Urząd Wojewódzki w Warszawie, Gmina Łąck.
Zdjęcie główne/ilustracyjne: Bishnu Sprangi/pixabay

